Kì thi giữa học kì 2 môn Toán lớp 6 là một cột mốc quan trọng, giúp học sinh đánh giá lại kiến thức và kĩ năng đã học trong nửa sau của năm học. Đây không chỉ là cơ hội để các em củng cố kiến thức mà còn là bước đệm vững chắc cho kì thi cuối kì sắp tới. Để hỗ trợ tối đa cho quá trình ôn tập của các bạn học sinh, phụ huynh và giáo viên, TRA CỨU ĐIỂM VNEDU đã tổng hợp bộ đề Thi Toán Lớp 6 Giữa Học Kì 2 cập nhật nhất năm 2025, bám sát cấu trúc và nội dung của ba bộ sách giáo khoa mới: Kết nối tri thức với cuộc sống, Chân trời sáng tạo và Cánh diều.
Mỗi bộ đề đều được biên soạn kỹ lưỡng, có kèm đáp án chi tiết, giúp học sinh tự kiểm tra và nắm vững kiến thức, tự tin chinh phục điểm cao trong kì thi.
Tổng Hợp Đề Thi Toán 6 Giữa Học Kì 2 Theo Các Bộ Sách Mới Nhất
Việc ôn luyện với các đề thi bám sát chương trình giảng dạy là yếu tố then chốt giúp các em học sinh làm quen với dạng đề, cấu trúc bài thi, từ đó nâng cao hiệu quả làm bài. Dưới đây là tổng hợp các bộ đề thi mẫu dành cho học sinh lớp 6, giúp các em ôn tập hiệu quả cho kì thi giữa học kì 2 sắp tới.
Đề Thi Toán 6 Giữa Kì 2 Sách Kết Nối Tri Thức
Bộ sách “Kết nối tri thức với cuộc sống” tập trung vào việc áp dụng kiến thức vào thực tiễn, do đó, các đề kiểm tra toán 6 giữa kì 2 theo bộ sách này thường có những câu hỏi mang tính ứng dụng cao, đòi hỏi học sinh không chỉ nắm vững lý thuyết mà còn biết cách vận dụng. Cấu trúc đề thi thường bao gồm cả phần trắc nghiệm và tự luận, phủ rộng các chuyên đề như: Số học (phân số, số thập phân, tỉ số phần trăm), Hình học (điểm, đường thẳng, đoạn thẳng, tia, trung điểm), và một phần nhỏ về xác suất thực nghiệm, dữ liệu.
Ví dụ minh họa cấu trúc đề thi:
Phòng Giáo dục và Đào tạo …
Đề thi Giữa kì 2 – Kết nối tri thức
Năm 2025
Bài thi môn: Toán 6
Thời gian làm bài: … phút
(không kể thời gian phát đề)
I. Trắc nghiệm (2 điểm): Khoanh vào chữ cái đứng trước câu trả lời đúng.
Câu 1: Tìm cặp phân số bằng nhau trong các phân số sau:
Các cặp phân số cần tìm để xác định phân số bằng nhau trong đề thi Toán 6 Kết nối tri thức.
Câu 2: Phân số biểu thị số phần tô màu trong hình vẽ dưới đây là:
Câu 3: Làm tròn số 312,163 đến hàng phần mười là:
A. 312,1.
B. 312,2.
C. 312,16.
D. 312,17.
Câu 4: Cho hình vẽ dưới đây. Khẳng định nào sau đây là đúng?
A. Ba điểm A, B, C thẳng hàng. B. Ba điểm A, B, D thẳng hàng.
C. Ba điểm B, C, D thẳng hàng. D. Ba điểm A, C, D thẳng hàng.
II. Tự luận:
Bài 1 (2 điểm): Thực hiện phép tính (tính nhanh nếu có thể):
d) (33,2 + 21,5) . 2
Bài 2 (1,5 điểm): Tìm x:
a) x – 22, 6 = 15,28
Bài 3 (2 điểm): Trong một lớp 60% số học sinh giỏi là 9 em.
a) Tính số học sinh giỏi của lớp.
b) số học sinh khá bằng 80% số học sinh giỏi. Tìm số học sinh khá của lớp.
c) Biết lớp chỉ có học sinh giỏi và khá. Tìm tổng số học sinh của lớp.
Bài 4 (2 điểm): Cho đoạn thẳng AB = 8 cm. Trên tia AB lấy điểm C sao cho AC = 4 cm.
a) Điểm C có nằm giữa hai điểm A và B không? Vì sao?
b) Tính độ dài đoạn BC.
c) Điểm C có là trung điểm của đoạn thẳng AB không? Vì sao?
Bài 5 (0,5 điểm): Cho a,b ∈ N*. Hãy so sánh
Đề Thi Toán 6 Giữa Kì 2 Sách Chân Trời Sáng Tạo
Bộ sách “Chân trời sáng tạo” khuyến khích tư duy logic và sáng tạo trong giải quyết vấn đề. Các đề thi giữa kì 2 toán lớp 6 có đáp án theo bộ sách này thường đa dạng về hình thức, từ câu hỏi trắc nghiệm kiểm tra kiến thức nền tảng đến các bài tập tự luận đòi hỏi sự phân tích và tổng hợp. Nội dung tập trung vào các chương về phân số, số thập phân, một số yếu tố thống kê và xác suất đơn giản, cùng với hình học phẳng cơ bản.
Ví dụ minh họa cấu trúc đề thi:
Phòng Giáo dục và Đào tạo …
Đề thi Giữa kì 2 – Chân trời sáng tạo
Năm 2025
Bài thi môn: Toán 6
Thời gian làm bài: 60 phút
(không kể thời gian phát đề)
I. Phần trắc nghiệm (3 điểm)
Câu 1: Phân số nào trong các phân số sau là phân số tối giản
Câu 2: Hình không có tâm đối xứng là:
A) Hình tam giác
B) Hình chữ nhật
C) Hình vuông
D) Hình lục giác đều.
Câu 3: Kết quả của phép tính là:
Câu 4: Trong hình bên dưới có bao nhiêu cặp đường thẳng song song
(Hình ảnh minh họa các đường thẳng song song sẽ được chèn tại đây nếu có, tương tự hình gốc)
A) 1
B) 2
C) 3
D) 4
Câu 5: Kết quả so sanh hai phân số là:
II. Phần tự luận
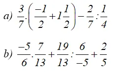
Bài 1 (1,5 điểm): Thực hiện phép tính
Bài tập thực hiện các phép tính với số thập phân và phân số.
Bài 3 (1,5 điểm): Cường có 3 giờ để chơi trong công viên. Cường dành thời gian để chơi ở khu vườn thú; thời gian để chơi các trò chơi; thời gian để ăn kem, giải khát; số thời gian còn lại để chơi ở khu cây cối và các loài hoa. Hỏi Cường đã chơi bao nhiêu giờ ở khi cây cối và các loài hoa.
Đề Thi Toán 6 Giữa Kì 2 Sách Cánh Diều
Bộ sách “Cánh diều” được thiết kế nhằm phát triển năng lực học sinh, với các bài tập từ cơ bản đến nâng cao. Đề thi toán lớp 6 cánh diều giữa kì 2 sẽ bao gồm các kiến thức trọng tâm về phân số, số nguyên, hình học phẳng (điểm, đoạn thẳng, tia, góc) và các yếu tố thống kê, xác suất.
Ví dụ minh họa cấu trúc đề thi:
Phòng Giáo dục và Đào tạo …
Đề thi Giữa kì 2 – Cánh diều
Năm 2025
Bài thi môn: Toán 6
Thời gian làm bài: … phút
(không kể thời gian phát đề)
I. Trắc nghiệm (4 điểm)
Câu 1: Tổng bằng:
Câu 2: Cho biểu đồ tranh thể hiện số cây hoa trồng trong vườn của nhà bốn bạn Mai; Lan; Huy; An. (Hình ảnh biểu đồ tranh sẽ được chèn tại đây nếu có)
Tìm khẳng định sai trong các khẳng định sau:
A) Nhà An trồng nhiều hoa nhất.
B) Nhà Huy trồng ít hoa nhất.
C) Nhà Lan và nhà Mai trồng số hoa bằng nhau.
D) Tổng số hoa nhà Lan và Mai trồng được bằng tổng số hoa nhà Huy và An trồng được.
Câu 3: Cho đoạn thẳng AB = 12cm. Gọi O là trung điểm của AB. Độ dài OB là:
A) 12cm
B) 6cm
C) 10cm
D) 18cm
Câu 4: Số đối của phân số là:
II. Tự luận
Bài 1 (2 điểm): Thực hiện phép tính:
Bài tập tính toán với phân số và số thập phân trong đề thi Toán 6 Cánh Diều.
Bài 3 (1,5 điểm): Xếp loại thi đua ba tổ lao động của một đội sản xuất được thống kê như sau (đơn vị: người):
| Tổ | Giỏi | Khá | Đạt |
|---|---|---|---|
| Tổ 1 | 8 | 3 | 1 |
| Tổ 2 | 9 | 2 | 1 |
| Tổ 3 | 7 | 4 | 1 |
a) Mỗi tổ lao động có bao nhiêu người.
b) Đội trưởng thông báo rằng số lao động giỏi của cả đội nhiều hơn số lao động khá và đạt của cả đội là 12 người. Đội trưởng thông báo đúng hay sai.
Đề Thi Toán 6 Giữa Kì 2 Theo Tỉnh/Thành (Trên Cả Nước)
Bên cạnh các đề thi theo bộ sách giáo khoa, việc tham khảo các đề thi toán 6 từ các Phòng Giáo dục và Đào tạo trên cả nước cũng là một cách hiệu quả để học sinh đa dạng hóa nguồn tài liệu ôn tập và làm quen với các dạng bài có thể xuất hiện trong kì thi thực tế. Các đề thi này thường có tính chất tổng hợp, kiểm tra toàn diện kiến thức đã học.
Để có thêm tài liệu tham khảo cho các môn học khác, bạn có thể tìm kiếm đề thi văn cuối kì 2 lớp 6 tại website của chúng tôi.
Vì Sao Ôn Tập Với Đề Thi Mẫu Là Chìa Khóa Thành Công?
Việc làm quen với các đề thi toán lớp 6 giữa học kì 2 không chỉ giúp các em học sinh ôn lại kiến thức mà còn mang lại nhiều lợi ích thiết thực:
- Đánh giá năng lực thực tế: Các đề thi mẫu giúp học sinh tự kiểm tra mức độ hiểu biết của mình về từng chuyên đề, từ đó nhận ra những lỗ hổng kiến thức cần bổ sung.
- Làm quen cấu trúc đề: Mỗi bộ sách và từng địa phương có thể có những đặc thù riêng về cấu trúc đề thi. Luyện đề giúp các em không bị bỡ ngỡ khi bước vào phòng thi thật.
- Quản lý thời gian: Thực hành giải đề dưới áp lực thời gian giúp học sinh rèn luyện kĩ năng phân bổ thời gian hợp lý cho từng phần, từng câu hỏi.
- Phát hiện và khắc phục lỗi sai: Qua việc làm đề và đối chiếu đáp án, học sinh có thể tự mình hoặc cùng giáo viên, phụ huynh phát hiện các lỗi sai thường gặp, từ đó điều chỉnh phương pháp học tập.
Bí Quyết Làm Bài Thi Toán 6 Giữa Kì 2 Đạt Điểm Cao
Để đạt được kết quả tốt nhất trong kì thi giữa kì 2 môn toán 6, học sinh cần có một chiến lược ôn tập bài bản:
- Nắm vững kiến thức cơ bản: Tập trung vào các chuyên đề trọng tâm như phân số, số thập phân, tỉ số, hình học cơ bản (đoạn thẳng, tia, trung điểm), và các khái niệm về xác suất. Đây là nền tảng để giải quyết các bài toán phức tạp hơn.
- Luyện giải bài tập đa dạng: Không chỉ giới hạn ở các bài tập trong sách giáo khoa, hãy tìm kiếm và giải các bài tập nâng cao, các dạng bài mới lạ để mở rộng tư duy.
- Thực hành giải đề bấm giờ: Đây là bước cực kì quan trọng để mô phỏng điều kiện thi thật, giúp học sinh rèn luyện tốc độ và sự chính xác.
- Học cách trình bày: Đặc biệt với phần tự luận, trình bày rõ ràng, mạch lạc, đúng bước là yếu tố giúp các em ghi điểm tuyệt đối.
- Giữ tâm lý thoải mái: Một tâm lý tự tin và thoải mái sẽ giúp học sinh phát huy tối đa khả năng của mình.
Để hỗ trợ quý phụ huynh và giáo viên trong việc định hướng học tập và lựa chọn trường học cho học sinh, chúng tôi cũng cung cấp thông tin về đại học sư phạm tphcm học phí hay những trường đại học lấy điểm thấp cũng như học phí rmit 1 năm. Đây là những thông tin hữu ích cho quá trình định hướng tương lai. Ngoài ra, việc tham khảo các đoạn văn nghị luận văn học cũng có thể giúp các em rèn luyện tư duy phân tích, tổng hợp.
Kết Luận
Việc chuẩn bị tốt cho kì thi giữa học kì 2 môn Toán lớp 6 là điều hết sức cần thiết. Với bộ đề thi toán lớp 6 giữa học kì 2 được tổng hợp và phân loại theo các bộ sách mới nhất, cùng với những kinh nghiệm ôn tập và làm bài thi hiệu quả, TRA CỨU ĐIỂM VNEDU hy vọng sẽ là người bạn đồng hành tin cậy, giúp các em học sinh tự tin bước vào kì thi và đạt được những thành tích xuất sắc. Hãy chăm chỉ ôn luyện và nắm chắc kiến thức để gặt hái thành công!

